НАДЕЖДА БЕЛОГЛАЗОВА
Часто педагоги неохотно используют перерывы в занятиях с детьми, чтобы не терять времени. Однако нередко бывает, что время и продуктивность занятия теряется в нежелательных поведениях. Идея эксперимента – определить, какой способ предоставления перерыва более эффективно сократит потери времени занятия с ребенком с аутизмом: свободное предоставление перерыва по просьбе ребенка или по визуальному расписанию, составленному педагогом. Эксперимент показал, что в обоих случаях наблюдается сокращение нежелательных перерывов. Важным результатом эксперимента стало отсутствие истерик на фазах работы при том, что на фазах начального уровня истерики были зафиксированы.
Влияние необусловленного на поведении предоставления поощрения в виде перерыва для уменьшения количества нежелательного поведения, усиленного негативно, сравнение необусловленного предоставления перерыва с разными расписаниями предоставления поощрения и способами предоставления перерыва, неоднократно исследовалось в мире и описано в журналах по прикладному и экспериментальному анализу поведения.
Например, в статье Vollmer T. R. и соавторов (1995) исследовали влияние необусловленного на поведении предоставления перерыва в учебной деятельности как отрицательного поощрения в виде убирания неприятного стимула для негативно усиленного самоповреждающего поведения у двух молодых людей с особенностями в развитии. Эта статья примечательна тем, что ее авторы одни из первых исследовали влияние процедуры необусловленного предоставления отрицательного поощрения в виде перерыва от учебной деятельности по расписанию FT как корректирующей процедуры и для нежелательного негативно усиленного самоповреждающего поведения, хотя обычно в качестве корректирующей процедуры используется одна из процедур выборочного усиления. В частности, в статье представлено сравнение эффективности процедуры необусловленного предоставления отрицательного поощрения (NCE) и DRNO – выборочного усиления отсутствия негативно усиленного поведения в период времени. Результаты эксперимента показали, что эффективность необусловленного на поведении предоставления поощрения в виде перерыва не ниже, чем при расписании, обусловленном на отсутствии поведения, но при этом процедура проще в реализации, чем DRNO, и имеет меньше побочных эффектов, обусловленных вымиранием. Что позволяет расценивать эту процедуру как потенциально корректирующую. Корректирующий эффект процедуры Vollmer T. R. и соавторы (1995) объясняли тем, что процедура необусловленного предоставления поощрения является разновидностью вымирания, поскольку устраняет обусловленность между самоповреждающим поведением и поощрением в виде прекращения учебной деятельности, но при этом не имеет побочных эффектов, характерных для вымирания. Интересно и то, что авторы данной статьи сделали функциональный анализ самоповреждающего поведения испытуемых и точно выяснили цель поведения и тип усиления в нем перед применением указанных процедур. Этот эксперимент вдохновил автора этой статьи на проверку гипотезы об эффективности использования необусловленного на проблемном поведении предоставления перерывов от учебной деятельности (NCE) как корректирующей процедуры для уменьшения проблемного поведения. Было решено расширить гипотезу и проверить разницу между предоставлением перерыва по расписанию фиксированное количество по визуальному расписанию (FR) и предоставлением перерыва без каких-либо ограничений, по просьбе испытуемого. По нашему мнению, предоставление перерыва без ограничений более качественно восполнит необходимость перерыва от учебной деятельности, максимально снизит мотивацию достигать перерыва с помощью нежелательного поведения, так как альтернативное поведение – просьба о перерыве, менее энергозатратно, одобряется всеми и достигает ту же цель.
В статье Coleman C. L. и соавторы (1998) описали эксперимент, похожий на исследование Vollmer T. R. и соавторов (1995). Coleman и соавторы (1998) исследовали влияние необусловленного на поведении предоставления перерыва (NCE) по расписанию фиксированное время у трех четырехлетних детей с аутизмом на регулярных логопедических занятиях на продолжительность агрессивного поведения детей на этих занятиях. Авторы изучали влияние процедуры NCE не только на продолжительность агрессивного поведения, но и на поведение выполнения заданий. Результаты исследования показали значительное снижение продолжительности нежелательного и агрессивного поведения, а также повышение продолжительности выполнения заданий. Coleman C. L. и соавторы (1998) сделали вывод, что данная процедура не только показала свою эффективность как корректирующая, но и проста в применении, доступна широкому кругу специалистов без специальной подготовки в области прикладного анализа поведения. В отличие от методики DRO, например, которая требует постоянного отслеживания времени и эпизодов поведения для своевременного «сброса таймера». Это говорит о высокой практической ценности данной процедуры.
В статье Kodak Tiffany и соавторы (2003) также сравнили влияние необусловленного на поведении предоставления перерыва (NCE) по расписанию фиксированное время и процедуры DRO, обусловленной на нежелательном поведении с целью избегания учебной деятельности, на поведение выполнения заданий и соблюдение учебного поведения. Примечательно то, что обе процедуры никак не обусловлены на поведении выполнения заданий. NCE не обусловлена ни на каком поведении, DRO обусловлена на отсутствии нежелательного, в данном случае, негативно усиленного поведения, в период времени. Тем интереснее результат, к которому пришли Kodak Tiffany и соавторы (2003) – обе эти процедуры привели не только к снижению продолжительности нежелательного поведения, но и к увеличению продолжительности поведения выполнения заданий.
В России специалистами прикладного анализа поведения также была затронута тема необусловленного предоставления поощрения в статье Чульжановой Е. (2015). В данной статье исследовалось влияние необусловленного на поведении предоставления поощрения до учебной сессии на количество правильно выполненных инструкций и латентность до их выполнения у девочки шести лет с особенностями развития. В отличие от предыдущих статей, в данной статье изучалось необусловленного поощрения позитивно усиленного поведения выполнения инструкций, а поощрение предоставлялось не по расписанию фиксированное время, как в предыдущих, а разово в течение 30 минут перед началом учебной сессии.
Нам представляется интересным исследовать не только влияние необусловленного предоставления поощрения в виде перерыва на количество потерянного в нежелательных поведениях от занятия времени, которое было доказано в вышеописанных статьях, но и сравнить его с предоставлением того же поощрения в виде перерыва, но по визуальному расписанию, составленному инструктором, то есть обусловлено на выполнении конкретного задания, помещенного в расписание перед перерывом.
Важность использования визуального расписания для облегчения переходов от одной деятельности к другой неоднократно исследовалась применительно к различным поведениям детей с особенностями в развитии. Например, в статье Waters B. Melissa и соавторы (2009) сравнивали влияние визуального расписания и выборочного усиления отсутствия нежелательного негативно усиленного поведения (DRO) на проблему перехода от предпочитаемой деятельности к не предпочитаемой. Исследователи сделали вывод, что визуальное расписание, применяемое изолированно, не работает для облегчения переходов от предпочитаемой деятельности к не предпочитаемой, но может повысить эффективность процедуры DRO при совместном с ней использовании. Однако в дискуссии авторы статьи указывают, что неизвестна история использования испытуемыми визуального расписания до эксперимента, хотя указывается, что оба испытуемых имели опыт их использования. Поскольку в случае с испытуемым в нашем эксперименте имеется положительный опыт использования визуального расписания на протяжении полутора лет, в том числе в ходе индивидуальных занятий, планируем устранить этот недостаток эксперимента Melissa B Waters и соавторов (2009), и исследовать эффективность предоставления перерыва по визуальному расписанию в сравнении с необусловленным предоставлением перерыва по просьбе испытуемого.
Цель данного эксперимента – выяснить, является ли свободный, необусловленный на поведении, доступ к поощрению в виде перерыва во время занятия предопределяющим событием, эффективнее сокращающим время между эпизодами поведения выполнения заданий в течение занятия, чем ограниченный доступ к тому же поощрению на основании визуального расписания, составленного педагогом.
ЭКСПЕРИМЕНТ
Испытуемый
В эксперименте принимал участие один испытуемый. Это мальчик 7 лет с диагнозом аутизм. На момент начала эксперимента с ребенком занимались АВА-терапией на протяжении трех лет. Мальчик умеет говорить предложениями из 5-6 слов, сообщать о своих желаниях и предпочтениях, отвечать на вопросы, задавать вопросы, просить желаемое, отказываться, спорить, комментировать происходящее. Развитие академических навыков ребенка соответствует возрасту: умеет считать, решать примеры на сложение и вычитание в пределах 20, выполнять задания по печатным тетрадям для подготовительных групп, писать и читать. Ребенок посещает детский сад для детей с тяжелыми нарушениями речи с мамой или тьютором три часа в день с 9 до 12 часов, группу для подготовки к школе 2 раза в неделю, а также занятия в коррекционно-развивающем центре по АВА-терапии и с логопедом 5 раз в неделю.
Основным критерием выбора испытуемого было наличие на занятиях регулярных негативно усиленных поведений, в том числе истерик. То, что нежелательные поведения, происходящие на занятиях регулярно, усиливаются негативно, показал функциональный анализ, проведенный перед экспериментом.
Материалы
Эксперимент всегда проводился дома у испытуемого в комнате 4*5 метров, в которой вдоль стен находятся стол с компьютером, 2 шкафа, 2 комода, 2 кресла, тумба с телевизором, парта с детским стульчиком, пристенный детский спорткомплекс, игрушки ребенка в контейнерах и подвесных сетках, пол застелен ковролином.
Экспериментальная сессия происходила один раз в день каждый день, в интервале времени с 11 до 15 часов дня. Сессия начинается с того момента, когда ребенок сядет за стол после слов экспериментатора «Пойдем заниматься». Сессия проводилась за партой, высота которой соответствует росту ребенка. Испытуемый сидел на детском стуле слева, экспериментатор на табуретке справа от испытуемого. Все материалы для занятия: тетради, листы бумаги, ручка, карандаши, картинки, поощрения, располагались перед экспериментатором на правом краю парты. Для занятий во время эксперимента использовались печатные тетради серии «Предшкольная пора», по которым ребенок занимается в школе, карточки формата А7 с картинками по изучаемым темам, простой и цветные карандаши, ручка с синим стержнем, ластик, листы бумаги, контейнер с пищевыми поощрениями.
На фазе с визуальным расписанием применялась полоска визуального расписания 7*30 см из гибкого синего пластика с 6 квадратными липучками белого цвета и с кармашком на обратной стороне для карточек с выполненными заданиями. На эту полоску приклеивались карточки с обозначением предстоящих заданий и перерывов в виде фотографий и рисунков с надписями или без них размером 4,5*4,5 см. (Рис. 1) У испытуемого на момент начала эксперимента был опыт использования визуального расписания, в том числе при проведении занятий, в течение 1,5 лет, в частности, все картинки были ему известны.
Рис. 1. Визуальное расписание занятия
Каждая сессия была спланирована следующим образом: первая половина занятия ребенку давались задания, требующие устных ответов, вторую половину – ребенок выполнял письменные задания или задания в тетрадях, требующие наклеивания, рисования, раскрашивания и т.п. Каждую сессию предоставлялись задания одинаковой сложности с учетом прогресса испытуемого в изучаемых навыках в период проведения эксперимента.
На момент начала каждой сессии были созданы следующие условия для контроля над независимыми переменными, которые нами не менялись, а контролировались в ходе эксперимента:
- Компьютер на столе выключен, экран погашен
- Звук телефонов и домофона отключены
- В комнату, где проводится эксперимент, никто не заходит
- Дверь в комнату закрыта
- В комнате нет еды, сладостей или напитков, кроме поощрений
- Список заданий и материалы для занятия подготовлены заранее, карандаши наточены и лежат в маленькой корзинке рядом с экспериментатором
- Испытуемый не голоден (съел с момента пробуждения или в прошедшие 3 часа более 100 г любой еды, не считая напитков)
- Испытуемый здоров (нет температуры, необычной вялости, радикального нарушения стула, в текущий день в течение 1 часа до эксперимента не было случайных ушибов или ссадин, на которые ребенок среагировал стоном или плачем, не жалуется на любую боль)
- В течение одного часа до планируемой сессии не было истерик с плачем.
Если испытуемый не здоров, эксперимент не проводился. Если испытуемый голоден и отказывается от еды в запланированное время, эксперимент откладывался до тех пор, пока не скушает более 100 г любой еды, но не более, чем на 2 часа. Если испытуемый продолжает отказываться от еды или съедает менее 100 г по истечении 2 часов с момента запланированного начала сессии, следует считать, что он не здоров, в данном случае эксперимент в этот день не проводился.
Определение зависимых и независимых переменных
Зависимая переменная 1
Зависимой переменной 1 является промежуток времени между эпизодами выполнения задания, не определенный как разрешенный перерыв (Зависимая переменная 2). Началом этого промежутка считается момент, когда ребенок прекращает выполнение задания и начинает одно или несколько из следующих действий: стучит карандашом, рукой, ногой или другим предметом по поверхностям, падает на пол, убегает, уходит или уползает в любом направлении, кричит, произносит слова или фразы, не относящиеся к выполнению задания; берет игрушку или посторонний предмет и манипулирует им, плачет, скидывает предметы со стола и других поверхностей, высыпает мелкие предметы из емкостей, в которых они находятся, на пол; встает со стула и смотрит в сторону от материалов задания; кладет в рот несъедобный предмет и кусает, рвет или мнет бумагу и рабочие материалы, черкает карандашом или другим пишущим предметом в тетради, на листах или на парте, залазит ногами на стул или на парту, подпрыгивает на парте, ударяет частями мебели о пол или другую мебель. Окончанием наблюдаемого промежутка считается момент, когда ребенок садится за парту и начинает смотреть на инструктора или учебные материалы, или момент, когда начинает выполнять задание урока, если он произошел раньше, чем ребенок сел на стул и начал смотреть на экспериментатора (например, начал выполнять письменное задание стоя или поставив одно колено на стул, отвечает на заданный вопрос, манипулируя игрушкой и глядя на нее). Продолжительность фиксируемого промежутка может быть любой, если он включает любое из перечисленных действий. Также зависимой переменной 1 считается, помимо перечисленного, промежуток времени с момента истечения 20 сек после произнесения слов «Перерыв закончился, садись» или «Возвращайся», если испытуемый не вернулся за стол. С 21 секунды и до момента возвращения ребенка за стол включается таймер, фиксирующий продолжительность зависимой переменной 1.
Зависимой переменной не являются промежутки времени, когда ребенок останавливает то действие, которое делал при выполнении задания, но сидит при этом на стуле и не производит действий, описанных выше. Также зависимой переменной 1 не являются те, когда ребенок встает со стула около парты, но при этом продолжает выполнение задания, а также те, в которых ребенок выполняет задания или отвечает на вопросы, сидя на полу.
Если ребенок манипулирует игрушкой или посторонними предметами, но при этом отвечает на вопрос, зависимой переменной 1 считается промежуток времени от момента, когда ребенок начал манипулировать игрушкой, до момента начала произнесения ответа на вопрос.
Данные начального уровня по зависимой переменной 1 составили на момент перехода к фазе работы 55% от общей продолжительности сессии (30 мин. или 1800 сек.). На фазе начального уровня замерялась только зависимая переменная 1.
Зависимая переменная 2
Зависимой переменной 2 являются разрешенные экспериментатором перерывы в учебной деятельности на фазах вмешательства В и С, предусмотренные условиями эксперимента – перерывы по просьбе ребенка и по визуальному расписанию. Началом такого перерыва является момент начала произнесения ребенком одной из просьб: «Я хочу на перерыв», «Я хочу убежать туда», а также начало произнесения экспериментатором инструкции: «Смотри, сейчас перерыв» или «Иди на перерыв». Окончанием разрешенного перерыва является момент истечения 20 секунд после окончания первого произнесения экспериментатором инструкции: «Возвращайся» или «Садись за стол», а также возвращение испытуемого за парту, если оно произошло раньше указанного момента. Перерыв свыше указанного промежутка, начиная с 21 секунды после произнесения инструкции, является зависимой переменной 1, то есть нежелательным перерывом.
Данные начального уровня по зависимой переменной 2 равны нулю, поскольку поведение, указанное в описании данной переменной, на начальном уровне не демонстрировалось ребенком.
Привыкание к ситуации эксперимента происходило с сильными флуктуациями в начале начального уровня, в частности, не было единого плана работы с истериками и реакции на них. Через несколько дней началась работа с истерикой по программе, которая включала, в частности, реагирование единым образом. Это сразу отразилось на стабильности показателей начального уровня, они вышли на одну прямую. Переход от начального уровня к фазе работы осуществлялся после того, как данные четырех дней подряд оказались на одной прямой, на уровне 54-56%. Данные по зависимой переменной 2 на протяжении всего начального уровня равнялись 0.
Краткое описание независимых переменных дано в таблице 1.
Табл. 1. Описание независимых переменных
Метод наблюдения
В данном эксперименте был выбран метод наблюдения продолжительность. Замерялась продолжительность зависимых переменных – промежутков времени между выполнением заданий в секундах, все промежутки в течение сессии суммировались, и вычислялся процент от общей продолжительности сессии 30 минут (1800 сек.). Для отображения на графиках и анализа данных указывался процент от общей продолжительности сессии 30 минут (1800 сек.)
Был выбран метод наблюдения продолжительность, так именно этот метод является валидным для задачи нашего эксперимента – доказать, что при предоставлении перерыва по просьбе ребенка без ограничений для негативно усиленных нежелательных поведений является предопределяющим событием, эффективнее сокращающим время между выполнением заданий, чем предоставление тех же перерывов, но по визуальному расписанию, составленному педагогом.
Результаты замерялись с помощью таймера в смартфоне после окончания каждой сессии по видеозаписям. Все результаты фиксировал экспериментатор, который является студентом третьего модуля курса прикладного анализа поведения и имеет достаточную подготовку без дополнительного тренинга. Записывались результаты в следующую форму записи результатов каждой сессии:
Табл. 2. Форма записи результатов каждой сессии
Результаты в форму заносились следующим образом: в клетке с надписью «Дата» указывалась дата сессии.
На начальном уровне каждый раз, когда ребенок начинал показывать поведение, указанное в описании зависимых переменных как зависимая переменная 1, экспериментатор включал таймер и замерял время до момента, указанного как окончание зависимой переменной в описании. Полученный результат в минутах и секундах, поскольку именно так отображается на таймере, по каждому эпизоду фиксировался в строке «ЗП, мин» в первой клетке, далее во второй и так далее слева направо, в каждой клетке один эпизод, по количеству эпизодов, когда испытуемый демонстрировал перерывы в учебной деятельности, описанные как зависимая переменная. После фиксации продолжительности всех эпизодов в минутах продолжительность конвертировались в секунды для удобства суммирования. В колонке «Сумма» записывалась сумма всех промежутков в секундах. Эта сумма записывалась в форму записи результатов эксперимента (Табл. 3)
На фазе работы дополнительно заполнялись строки: «ЗП 2, мин», «ЗП 2, сек», «ЗП 1, сек»
«ЗП 2, мин» заполнялась следующим образом: время засекалось на втором таймере с момента начала произнесения просьбы ребенком о перерыве или с момента начала произнесения экспериментатором инструкции: «Смотри, сейчас перерыв» или «Иди на перерыв» до момента истечения 20 секунд после окончания первого произнесения экспериментатором инструкции «Возвращайся» или до момента возвращения ребенка к выполнению заданий, если он произошел раньше. Полученный временной промежуток фиксировался как зависимая переменная 2. В указанную строку он записывался так, как отображался на таймере, в минутах и секундах. Продолжительность перерыва свыше указанной фиксировалась как зависимая переменная 1.
«ЗП 2, сек» эта строка заполнялась путем конвертации данных строки «ЗП 2, мин» в секунды для удобства суммирования. В каждой клетке указывались конвертированные данные из клетки, расположенной выше. В конце строки указывалась сумма полученных значений в секундах.
«ЗП 1, сек» – в этой строке на фазах работы указывалась разница между суммой продолжительности всех промежутков в секундах (сумма значений строки «ЗП, сек»), и суммы значений строки «ЗП 2, сек». Разница вписывалась в клетку на пересечении строки «ЗП 1, сек» и колонки «Сумма».
Табл. 3. Форма записи результатов эксперимента
Форма записи результатов эксперимента заполнялась 1 раз в день каждый день на основании заполненной формы записи результатов каждой сессии.
В колонке «Дата» указывалась дата сессии. Если эксперимент в какой-то день не проводился, дата все равно указывалась. Эксперимент проводился в течение 57 дней, в колонке «Дата» было указано 57 дат.
В колонке «ЗП 1, сек» указывалась сумма данных строки «ЗП, сек» на начальном уровне или «ЗП 1, сек» на фазе работы в соответствующую дату.
В колонке «ЗП 1, %» указывалось значение зависимой переменной в процентах от общей продолжительности сессии, вычисляемое по формуле:
ЗП 1, сек*100/1800сек
В колонке «ЗП 2, сек» указывалась сумма данных строки «ЗП 2, сек» на фазе работы в соответствующую дату.
В колонке «ЗП 2, %» указывалось значение зависимой переменной в процентах от общей продолжительности сессии, вычисляемое по формуле:
ЗП 2, сек*100/1800сек
В колонке «∑ ЗП, сек» указывалась сумма данных строки «ЗП, сек» формы записи результатов каждой сессии в соответствующую дату. На фазе начального уровня колонка «∑ ЗП, сек» дублировала колонку «ЗП 1, сек», на фазах работы являлась суммой колонок «ЗП 1, сек» и «ЗП 2, сек».
В колонке «∑ ЗП, %» указывалось значение суммы зависимых переменных в процентах от общей продолжительности сессии, вычисляемое по формуле:
∑ ЗП, сек *100/1800сек
Зависимая переменная 3
Отдельно замерялось количество истерик как самого интенсивного из нежелательных негативно усиленных поведений в каждой сессии. Было принято решение фиксировать этот параметр как дополнительный, так как именно при истериках теряется максимальное количество времени от продуктивного обучения с момента начала истерики до момента возвращения испытуемого к выполнению заданий. Количество истерик начали фиксировать после начала основного эксперимента.
Определение истерики. Поведение происходит только в присутствии взрослого (в момент начала взрослый может быть в другой комнате), после того, как взрослый сделает замечание, остановит его действие или укажет на ошибку. Топография поведения включает следующие действия: крик «Тааа!» или подобное сочетание звуков, удары рукой или ногой по различным твердым поверхностям, убегание, хлопанье дверьми и ящиками комодов с силой, от которой ломается мебель и отваливаются куски штукатурки с примыкающих к двери стен, выбрасывание мелких предметов из емкостей, в которых они лежат, на пол, может включать частичное засовывание несъедобных предметов в рот и закусывание их зубами, может тянуть руками и засовывать в рот элементы одежды взрослого, контактирующего с ним, падение на пол с открыванием рта, крик, плач, удары по взрослому руками и ногами, удары частями мебели о пол, мебель или другие поверхности. Поведение начинается с крика, первого удара руками по поверхности или с выбрасывания предметов на пол. Эпизод поведения считается законченным, если в течение 30 секунд не наблюдается ни одна из перечисленных топографий. Началом следующего эпизода считается крик, удар рукой по поверхности или выбрасывание предметов на пол после того, как взрослый сделает замечание, остановит его действие или укажет на ошибку.
Данные по количеству истерик собирались в форму регистрации количества истерик в течение сессии. (Табл. 4)
Табл. 4. Форма регистрации количества истерик в течение сессии.
В колонке «Дата» указывалась дата сессии. Если эксперимент в какой-то день не проводился или не фиксировались данные, дата все равно указывалась.
В колонке «Эпизоды истерик» ставилась галочка в одну из клеток по порядку слева направо всякий раз, когда наблюдался эпизод истерики. В одну клетку ставилась одна галочка.
В колонке «Количество» указывалось количество эпизодов за одну сессию по сумме галочек.
Начальный уровень по количеству истерик на момент перехода к фазе работы составил один эпизод в 30-минутную сессию.
МЕТОД
В процессе эксперимента нами сравнивалось воздействие двух независимых переменных на зависимые, оно показано в сравнении фаз начального уровня и двух фаз работы – В и С. Далее дано описание фаз.
Фаза А – начальный уровень.
На начальном уровне перерывы испытуемому не предоставлялись, все остальные условия соответствовали описанию в секции «Материалы».
Если таймер указывал окончание сессии до того, как закончено выполнение задания, задание выполнялось до конца, все происходящее свыше 30 минут от начала сессии не фиксировалось.
Если на момент окончания сессии испытуемый демонстрировал поведение, описанное как зависимая переменная 1, занятие продолжалось, но не фиксировалось все, что происходило после момента окончания 30-минутной сессии, обозначенного сигналом таймера.
Переход на следующую фазу осуществлялся после достижения критерия стабильности последних четырех показателей, когда четыре показателя зависимой переменной вышли на один уровень 54-56%.
Фаза В – свободное предоставление перерыва по просьбе в любой момент без ограничений по количеству.
Предоставление перерыва по просьбе ребенка в любой момент сессии без ограничений по количеству.
Ребенку перед началом каждой сессии проговаривалось: «Сегодня ты можешь попросить перерыв, когда захочешь». Сигналом для начала перерыва является просьба ребенка, содержащая слово «Перерыв» или близкий по смыслу оборот: «Я хочу перерыв», «Я хочу убегать туда» или подобная. В первую сессию на данной фазе, так как отсутствовала просьба, была дана подсказка с вопроса «Хочешь перерыв?» в момент, когда было выполнено два задания, и не наблюдалось поведений, фиксируемых в составе зависимой переменной 1. При утвердительном ответе давалась частичная вербальная подсказка: «Я хочу…», после самостоятельного произнесения просьбы испытуемого отпускали на перерыв словами «Иди на перерыв», «Хорошо, иди».
Если ребенок начинал ерзать или вставать со стула, экспериментатор придерживал его за руку и подсказывал: «Я хочу…». Если испытуемый продолжал фразу просьбой о перерыве, экспериментатор отпускал его на перерыв словами: «Иди на перерыв», «Хорошо, иди».
Если испытуемый произносил другую просьбу, например, «Я хочу закрыть дверь», «Я хочу поднять карандаш», экспериментатор выполнял его просьбу или реагировал соответственно просьбе.
Если испытуемый не произносил просьбу, инструктор повторял подсказку. Если не произносилась просьба после повторной подсказки, этот перерыв записывался как нежелательный – зависимая переменная 1.
Переход на следующую фазу осуществлялся после достижения критерия стабильности последних трех показателей по одной из зависимых переменных, при этом флуктуация другой зависимой переменной не должна превышать 10%. Переход с фазы В на фазу С был выполнен, когда три точки зависимой переменной 1 оказались на одной прямой, а отклонение последних трех точек зависимой переменной 2 не превышало 10%.
Фаза С – по визуальному расписанию.
Предоставление поощрения в виде перерыва с помощью карточки «Перерыв» экспериментатором на основании визуального расписания занятия, через каждые два задания, обусловлено на окончании выполнения задания, помещенного перед карточкой «перерыв».
Экспериментатор начинал сессию после того, как ребенок садился за стол, с демонстрации визуального расписания занятия, на котором указаны два задания, а после них карточка «перерыв». Далее следующие два задания, после них – снова карточка «Перерыв». Экспериментатор сам ставит карточки в визуальное расписание. В первый день перехода на фазу визуального расписания допускался выбор первых заданий испытуемым, чтобы облегчить переход от фазы к фазе, так как наблюдалось поведение протеста: ребенок уносил расписание со стола и отрывал от него картинки. Экспериментатор проговаривает все задания испытуемому, указывая на них пальцем и называя поочередно. После демонстрации расписания инструктор начинает первое задание, после его выполнения предоставляет пищевое, предметное или двигательное поощрение, выбранное ребенком для этого занятия, показывает на расписание, ребенок убирает пройденное задание в кармашек на обратной стороне полоски, инструктор проговаривает следующее задание и сразу приступает к нему. После окончания выполнения задания, после которого помещен перерыв, экспериментатор проговаривает: «Сейчас у тебя перерыв». После слов экспериментатора: «Перерыв закончился, садись» ребенок возвращается за стол, отклеивает карточку «перерыв», кладет ее в кармашек на обратной стороне полоски с визуальным расписанием. Визуальному расписанию и тому, что означает каждая из карточек, ребенок обучен до начала эксперимента и имел опыт его использования в течение полутора лет в разных условиях.
Если ребенок произносил просьбу о перерыве и шел на перерыв раньше, чем он указан в визуальном расписании, экспериментатор проговаривал, что перерыв будет после такого-то задания. Если испытуемый возвращался, занятие продолжалось. Если все равно шел на перерыв, инструктор фиксировал его как нежелательный, после возвращения испытуемого за стол занятие продолжалось в прерванного места, перерыв предоставлялся после того задания, которое было перед ним указано. Расположение перерыва не менялось.
Если ребенок не шел на перерыв после демонстрации карточки «перерыв», ему давалось время перерыва за столом от 30 до 60 секунд, после чего приступали к следующему заданию по инструкции экспериментатора.
Если задания выполнялись быстрее обычного, и карточки с обозначениями заданий заканчивались раньше, чем конец 30-ти минутной сессии, по последней карточке давалось больше заданий перед перерывом. Например, если последней карточкой стоит тетрадь по математике, просто давалось другое задание по той же тетради.
Если таймер указывал окончание сессии до того, как закончено выполнение задания, задание выполнялось до конца, все происходящее свыше 30 минут от начала сессии не фиксировалось. Если на момент окончания сессии испытуемый был на разрешенном перерыве по расписанию, занятие завершалось, а как зависимая переменная 2 фиксировалось время от начала перерыва до момента окончания 30-минутной сессии, обозначенного сигналом таймера.
Переход на следующую фазу осуществлялся после достижения критерия стабильности последних трех показателей по одной из зависимых переменных, при этом флуктуация другой зависимой переменной не должна превышать 10%. Переход с фазы С на фазу повторного начального уровня был выполнен, когда три точки зависимой переменной 2 оказались на одной прямой, а отклонение последних трех точек зависимой переменной 1 не превышало 10%.
Фаза А1 – это начальный уровень, но не идентичный первому начальному уровню, а с некоторыми изменениями. В некоторой степени была уменьшена депривация к перерыву. Также в ходе эксперимента из-за регулярных занятий, проводимых одинаково в одно примерно время дня, сформировался стимульный контроль на инструкции экспериментатора.
После фазы повторного начального уровня планировалось поставить фазу С, но из-за ограниченности во времени и в интересах испытуемого было решено перейти на фазу В и завершить эксперимент на ней, поскольку только при переходе на фазу В не наблюдалось резкого увеличения показателей зависимых переменных. Переходы на другие фазы приводили к протестному поведению и резкому повышению показателей. После пробы на повторном начальном уровне было решено перейти к фазе В повторная.
Поощрение
Поощрением для негативно усиленных поведений, в частности истерик, происходящих на занятии, является убирание неприятных стимулов. Все выявленные неприятные стимулы практически не встречаются в свободной деятельности, которой является перерыв. Следовательно, относительно негативно усиленных поведений перерыв может рассматриваться как поощрение.
Проверка на надежность
Надежность наблюдения была обеспечена с помощью перекрестного наблюдения. Для перекрестного наблюдения был приглашен один наблюдатель, тьютор испытуемого, который получил тренинг, необходимый для сбора данных по данному эксперименту. Наблюдатель просматривал видеозапись двенадцати экспериментальных сессий, что составляет 30% от общего их количества – 39, замерял продолжительность между эпизодами выполнения заданий с помощью таймера и заносил данные в форму записи результатов каждой сессии. Перекрестные наблюдения происходили последние три сессии на фазе А, две первые и две последние на фазе В, две первые и последнюю сессию на фазе С, вторую и последнюю на фазе А1 и вторую из трех на фазе В повторная.
При подсчете коэффициента надежности наблюдений погрешность в продолжительности суммы зависимых переменных в каждом эпизоде не более трех секунд считалась совпадением, больше четырех секунд – несовпадением. Далее надежность вычислялась по формуле:
Надежность наблюдений в эксперименте по сумме зависимых переменных составила 91,86%
Данный эксперимент можно считать систематическим повторением предыдущих экспериментов в части процедуры необусловленного предоставления поощрения в виде перерыва для коррекции негативно усиленных поведений, описанных в обзоре литературы. В нашем эксперименте прослеживается четкое влияние независимых переменных на зависимую переменную 2 – разрешенные перерывы, а также на дополнительный параметр – количество истерик в течение сессии. На зависимую переменную 1 прослеживается более слабое влияние независимых переменных. Сделан такой вывод из-за наблюдаемых сильных флуктуаций, которые, вероятно, объясняются влиянием независимых переменных, которые не удалось взять под контроль. Поэтому надежность по зависимым переменным нельзя считать высокой.
Дизайн
Для проверки и доказательства данной гипотезы был выбран возвратный дизайн из пяти фаз, две из которых – фаза начального уровня и фаза свободного предоставления перерыва, повторяются. Схематично фазы расположены следующим образом: А-В-С-А1-В. При помощи возвратного дизайна можно показать различие между фазами начального уровня и фазами работы В данном эксперименте возвратный дизайн лишь частично помог доказать нашу гипотезу, вероятно, отчасти из-за влияния неконтролируемых независимых переменных, отчасти из-за не самого верного порядка фаз.
РЕЗУЛЬТАТЫ
На графике 1 представлено влияние свободного предоставления перерыва и предоставления перерыва по визуальному расписанию на суммарную продолжительность нежелательных перерывов в процентах от продолжительности сессии. На графике отображено пять фаз: на фазе начального уровня А было проведено семнадцать сессий, на фазе В – свободного предоставления перерыва – девять сессий, на фазе С – предоставления перерыва по визуальному расписанию – пять сессий, на фазе повторного начального уровня А1 – четыре сессии, на заключительной повторной фазе В – три сессии.
Визуальный анализ результатов по Графику 1 показывает, что по критерию разделенности большинство фаз не разделены. Средняя линия на фазе А располагается на уровне 43%, и только одна точка фазы В лежит выше этой линии. Средняя линия фазы В располагается на уровне 32%, фаза А относительно фазы В также является не разделенной, так как несколько ее точек лежат ниже этой линии. Фаза С относительно фазы В не разделена, но только одна точка фазы С располагается выше средней линии фазы В. Средняя линия фазы С – на уровне 30%, фаза В относительно фазы С также не разделена. Средняя линия фазы А1 – на 46%, фаза А1 относительно фазы С не разделена, но только один показатель на А1 ниже средней линии фазы С. Фаза В повторная относительно фазы А1 разделена, поскольку все показатели этой фазы расположены ниже средней линии фазы А1. Средняя линия фазы В повторной расположена на уровне 29%. Фаза А1 относительно В повторной не разделена, но только один показатель А1 расположен ниже средней линии фазы В.
По критерию стабильности график 1 в целом является стабильным с того момента, как четыре точки фазы начального уровня вышли на один уровень 54-56%, после чего был осуществлен переход на фазу Б. На фазе В первые показатели не являются продолжением последних показателей фазы А, они расположены значительно ниже. Далее на фазе В наблюдаются флуктуации, но последние три точки также выходят на 1 прямую, направленную вниз, показатели на графике снижаются. После достижения стабильности трех показателей был реализован переход на фазу С. Первые показатели фазы С не являются продолжением последних показателей фазы В, что также свидетельствует о стабильности. На фазе С также наблюдалось снижение показателей, но в значительно более быстром темпе, чем на фазе В. Последние три показателя фазы С не вышли на прямую, это отклонение от критерия стабильности. Однако флуктуация среднего показателя от прямой линии составила всего 8%. Первые точки фазы А1 не являются продолжением фазы С: показатели сначала резко повышаются, потом снижаются и после перерыва снова начинают возрастать. Последние три показателя фазы А1 находятся на одной прямой и имеют возрастающую тенденцию. Первый из этих трех показателей отделен от последних перерывом в пять дней, но образует с ними возрастающую прямую от уровня 22% до 35%. Заключительная фаза В повторная включает всего три точки, которые флуктуируют, на ней критерий стабильности не был достигнут к концу эксперимента. При этом показатели фазы В повторной не являются продолжением показателей фазы А1 с тем же вектором, что соответствует критерию стабильности.
На графике 2 представлено влияние свободного предоставления перерыва и по визуальному расписанию на суммарную продолжительность разрешенных перерывов в процентах от продолжительности сессии.
Визуальный анализ результатов по Графику 2 показывает, что по критерию разделенности все фазы в направлении от начала до конца эксперимента разделены.
По критерию стабильности график 2 в целом является стабильным, нестабильность последних трех показателей фазы наблюдается только на фазе В, однако флуктуация среднего показателя от прямой не превышает 10%.
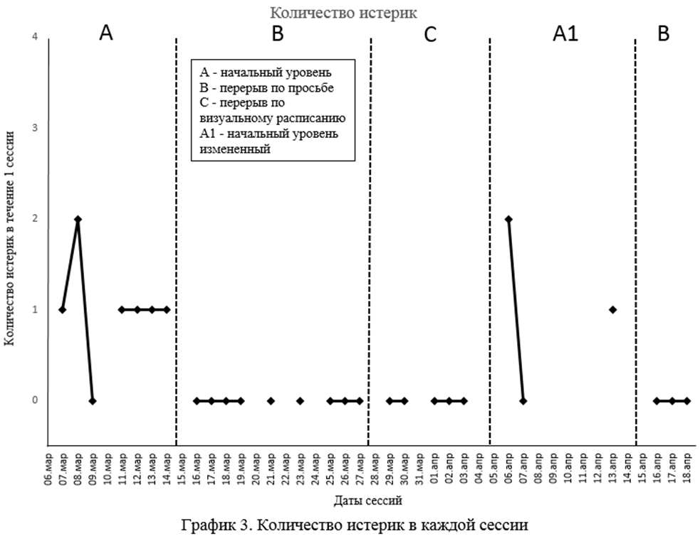
На графике 3 представлено влияние свободного предоставления перерыва и по визуальному расписанию на количество истерик в течение одной сессии.
Визуальный анализ результатов по Графику 3 показывает, что по критерию разделенности все фазы, кроме фаз В и С относительно друг друга, разделены.
По критерию стабильности График 3 имеет четыре стабильных показателя на фазе А, стабильно и то, что первые показатели с фазы В не являются продолжением последних показателей фазы А. Однако показатели фазы С не соответствуют критерию стабильности при переходе с фазы на фазу – все они расположены на том же уровне, что и показатели фазы В, и на том же векторе. Показатели фазы А1 не стабильны, прослеживается значительная флуктуация, наблюдается промежуток между показателями в пять дней. Показатели фазы В повторной стабильны и по критерию перехода с фазы на фазу, и по критерию стабильности внутри фазы – все точки расположены на одной прямой и равны нулю.
ОБСУЖДЕНИЕ
Исследуемая гипотеза заинтересовала нас потому, что часто педагоги в ходе индивидуальных занятий неохотно предоставляют ребенку перерывы, чтобы успеть выполнить как можно больше заданий. Однако такой подход часто приводит к появлению нежелательных перерывов в выполнении заданий, заполненных проблемными поведениями, усиленными, чаще всего, негативно. В результате продуктивность занятия в целом снижается, ребенок успевает выполнить меньше заданий за отведенное время, чем мог бы, если бы этих поведений не было. Предоставление разрешенных перерывов может сократить количество нежелательных поведений в ходе занятия и тем самым увеличить время выполнения заданий, а значит, продуктивность занятия. Экспериментатор предположил, что эффективнее сократить время между выполнениями заданий и увеличить продуктивность занятия, предоставляя доступ к перерыву по желанию ребенка, чем предоставление таких же перерывов, но по визуальному расписанию, предоставленному педагогом.
На Графике 1 видно, что фазы, кроме последней, не разделены. Однако часто только одна точка мешает разделенности одной фазы от другой, и на эту точку наблюдалось влияние независимых переменных, которые проконтролировать не удалось. На фазе В такой точкой является день, когда испытуемый во время эксперимента убегал на кухню, где папа после начала сессии начал готовить еду, что является для ребенка ярким стимулом. Если эту точку не учитывать, фаза В относительно фазы начального уровня была бы разделена. На фазе А1 критерию разделенности с фазой С не соответствует показатель дня, когда ухудшилось самочувствие испытуемого. Изменение в состоянии ребенка не было замечено на момент начала эксперимента, но спустя четыре часа факт заболевания стал очевидным. Вероятно, можно не учитывать этот показатель. Тогда фазы С, А1 и В повторная были бы разделены, а график бы наглядно показал различие в продолжительности нежелательных перерывов на фазах начального уровня и фазах работы. Фазы В и С являются неразделенными, однако при переходе с фазы на фазу прослеживается интересный факт: только при переходе с фазы начального уровня на фазу В наблюдается снижение показателей, при переходе на любую другую фазу, в том числе на фазу С, наблюдается резкое повешение показателей. Вероятно, причиной такого повышения показателей при переходе на фазы А, А1 и С, является эмоциональная реакция испытуемого.
Также визуальный анализ графика 1 показал отклонение от критерия стабильности трех последних показателей на фазе С. Однако отклонение среднего показателя от прямой составило 8%, что вписывается в критерий перехода, определенный для данного эксперимента: переход с фазы на фазу реализуется, когда три показателя одной зависимой переменной стабильны, а по другой отклонение не более, чем на 10%. На графике 2 на фазе В наблюдается такая же ситуация: отклонение от средней линии составляет 10%, что также вписывается в критерий перехода.
В результате эксперимента не была доказана выдвинутая гипотеза в части сравнения фаз В и С, но выявилось несколько любопытных и полезных закономерностей. В частности, интересно различие между фазами В и С в продолжительности разрешенных и нежелательных перерывов, а также характере изменения показателей. На фазе В наблюдается наибольшая продолжительность разрешенных перерывов, значения которых колеблются от 1 до 28%, но при этом стабильно снижается продолжительность нежелательных перерывов, снизилась до 4%, и, вероятно, дошла бы до нуля, если бы не был осуществлен переход на фазу С. На фазе С прослеживается стабильный уровень разрешенных перерывов (колебания 8-12%), уровень нежелательных перерывов также понижается. Вероятно, низкий уровень отвлечений от учебной деятельности на фазе С, помимо перерывов, объясняется предыдущим опытом использования визуального расписания.
Также была выявлена важная закономерность, показанная на графике 3: истерики на фазах работы В и С всегда отсутствовали, при этом на фазах А и А1 они наблюдались, количество на этих фазах доходило до двух за сессию. Вероятно, это объясняется тем, что неприятные стимулы к истерике под влиянием перерывов по просьбе или по расписанию становятся менее неприятными, не вызывают истерику. А значит, предоставление перерывов является предопределяющим событием, эффективно сокращающим потерю времени, и повышающим продуктивность занятия. В этой части наша гипотеза была доказана экспериментом.
Результаты данного эксперимента можно использовать для работы с другими детьми в части подтвержденной эффективности необусловленного предоставления поощрения в виде перерыва как корректирующей процедуры для негативно усиленных поведений у детей с диагнозом аутизм, поскольку этот эксперимент может рассматриваться как систематическое повторение предыдущих экспериментов с необусловленным предоставлением поощрения как корректирующей процедуры, в частности: Vollmer T. R. и соавторов (1995), Coleman C. L. и соавторов (1998), Kodak Tiffany и соавторов (2003). Хотя в нашем эксперименте показатели надежности по зависимым и независимым переменным невысоки, в части коррекции негативно усиленного поведения (истерик) в нем получены однозначные результаты, повторяющие результаты предыдущих исследований.
В части выдвинутой изначально гипотезы о том, что свободный, необусловленный на поведении, доступ к поощрению в виде перерыва является предопределяющим событием, эффективнее сокращающим время между эпизодами поведения выполнения заданий в течение занятия, чем ограниченный доступ к тому же поощрению на основании визуального расписания, составленного педагогом, наши выводы нельзя считать обобщенными и рекомендовать для дальнейшего использования, поскольку надежности эксперимента по независимым переменным достичь не удалось, наблюдалось вмешательство независимых переменных, которые не удалось проконтролировать, но которые влияли на поведение испытуемого и ход эксперимента. Если бы тот же эксперимент был проведен не в домашней обстановке ребенка, а в оборудованном для занятий кабинете, где отсутствуют такие независимые переменные, как присутствие в квартире и поведение членов семьи испытуемого, кошки, элементы домашней обстановки, на которые у испытуемого сформирован определенный стимульный контроль (игрушки, книжки, спорткомплекс и т.п.), его выводы в части сравнения методик уменьшения потерянного от занятия времени, вероятно, были бы более надежными, показательными, и применимыми для использования с разными клиентами в случае нескольких повторений. Тем, кто пожелает повторить эксперимент, рекомендуем выбрать для этого кабинет для проведения индивидуальных занятий с минимальным количеством отвлекающих стимулов.
График изменения продолжительности нежелательных перерывов получился неразделенным и недостаточно показательным. Причина такого результата может быть не только в независимых переменных, но и в том, что фазы эксперимента при том же количество фаз удачнее было бы расположить в другом порядке: А-С-А-В-С. Считаем, было бы более правильным расположить после фазы начального уровня фазу С с использованием визуального расписания, так как эту независимую переменную легче ввести и убрать В работе с этим ребенком мы предполагаем, что после фазы С не произошло бы научение просьбе, как в фазе В, а значит, есть возможность вернуться на начальный уровень, который был бы не измененным, а полностью дублировал бы условия на первом начальном уровне. Вероятнее всего, при таком расположении фазы А-С-А были бы четко разделены. В том числе и от того, что при переходе с начального уровня на фазу С могло не быть эмоциональной реакции испытуемого, которая наблюдалась после перехода с фазы B на фазу С, и которая, вероятно, стала причиной резкого увеличения продолжительности потерянного от занятия времени в первую сессию фазы С.
В ходе эксперимента стало понятно, что переход на фазу В после начального уровня был не самым верным решением. В ходе фазы В перерыв предоставлялся испытуемому свободно по просьбе. В результате формировалась новая обусловленность, что в любой момент можно попросить и сразу получить отдых от учебной деятельности вместо того, чтобы прибегать к нежелательному поведению. Уже на третий день эксперимента испытуемый начал просить перерыв самостоятельно, произошло научение, что сделало невозможным и нелогичным возврат на начальный уровень. Резкое убирание поощрения поведения просить перерыв запустило бы процесс вымирания поведения, что могло спровоцировать изменение эмоционального состояния испытуемого. Экспериментатор посчитал неэтичным возвращаться к начальному уровню и перешел на другую фазу работы. Одно расписание подачи поощрения было заменено другим. Следует отметить, что в первый день фазы С наблюдался протест, который выражался в убирании расписания со стола, отклеивании от него карточек, произнесением фраз «Без картинок!», «Убери расписание» и т.п.
В течение фазы С испытуемый почти перестал просить перерыв сам, потому что получал то же поощрение на других условиях по другому расписанию. После фазы С стал возможен возврат на начальный уровень, однако этот начальный уровень уже не идентичен первому, так как научение на фазе В все же произошло. На повторном начальном уровне на второй же день испытуемый заболел, причем заболевание стало очевидно через четыре часа после сессии, но могло ухудшаться самочувствие, что повлияло на необычно малую продолжительность перерывов для начального уровня. Из-за болезни пять дней эксперимента было пропущено, длительный перерыв и то, что у испытуемого могла наблюдаться депривация к регулярным занятиям, также могло повлиять на то, что показатели следующих двух сессий ниже наблюдаемых на начальном уровне, хоть и соответствуют критерию разделенности с фазой С.
К сожалению, время эксперимента было ограничено, поэтому было принято решение перейти снова на фазу В, не дожидаясь трех показателей подряд на одном уровне, но при этом третий показатель до болезни был на той же прямой, что и те, что после перерыва. Это не соответствует критерию стабильности, но было принято решение о переходе, чтобы завершить эксперимент на фазе В, поскольку это более этично по отношению к испытуемому, чем завершать эксперимент на начальном уровне. В сложившемся порядке фаз технически было бы более показательно после фазы А1 поставить фазу С, так как фаза В уже размещалась после начального уровня, а фаза С – только после фазы В. При принятии решения о последней фазе было учтено то, что при переходе на фазу С наблюдалась эмоциональная реакция, а также то, что при тех же результатах необусловленное предоставление перерыва по просьбе технически проще и более естественно для занятий в различных условиях, не требует специальных материалов, которых может не оказаться под рукой. Если бы данный эксперимент не был ограничен временем, вероятно, удалось бы целиком доказать нашу гипотезу.
Тем, кто захотел бы повторить эксперимент, можно порекомендовать возвратный дизайн в таком порядке: А-С-А-В-С-В. При этом порядке каждая фаза была бы повторена дважды, но после разных фаз, и факт научения просьбе не повлиял бы на начальный уровень. Также нам представляется интересным сравнить два способа предоставления перерыва с помощью дизайна «чередование условий». Вероятно, он покажет различие в методиках более четко, чем возвратный дизайн.
Работать над данным экспериментом было очень интересно, а его выводы, хоть и не доказали гипотезу целиком, могут быть очень полезны для педагогов и родителей детей с аутизмом в том, что предоставление перерывов в ходе занятия значительно снижает количество нежелательных поведений, усиленных негативно. На примере истерик, по которым велось наблюдение, на обоих фазах предоставления перерыва наблюдалось полное их отсутствие, хотя стимулы периодически появляются в окружающей среде.
Выводы данного эксперимента в части предоставления перерывов имеют ограниченную социальную валидность, поскольку в обществе общепринято мнение, что любой ребенок должен заниматься академический час без перерывов даже на индивидуальных занятиях, что перерыв – это напрасная потеря времени. Однако не учитывается тот факт, что своевременное для конкретного ребенка предоставление перерыва является эффективной корректирующей процедурой для работы с нежелательными поведениями. И, хотя продолжительность потерянного времени занятия в различных перерывах во время фаз эксперимента сократилось не радикально, значительно возросла продуктивность занятия за счет улучшения общего эмоционального фона в сторону позитивного. Если не рассматривать предубеждения педагогов и родителей против перерывов, результаты эксперимента очень важны для общества. Важность заключается в том, что ребенок быстрее обучается новому, когда у него нет нежелательного поведения, и педагогам легче детей обучать, легче поддерживать позитивный эмоциональный фон, на котором и идет наиболее продуктивно процесс обучения. Если занятия с ребенком проходят легко и приятно, поведение педагога заниматься с ребенком также усиливается позитивно, реже происходит эмоциональное выгорание специалистов. И такой результат очень важен для общества, а значит, по этому параметру выводы эксперимента имеют высокую социальную валидность.
ЛИТЕРАТУРА
Coleman C. L. and Holmes P. A., «The use of noncontingent escape to reduce disruptive behaviors in children with speech delays.». Journal of applied behavior analysis, 1998 Winter; 31(4): 687–690.
Kodak Tiffany, Miltenberger Raymond G, and Romaniuk Cathryn, «The effects of differential negative reinforcement of other behavior and noncontingent escape on compliance». Journal of applied behavior analysis, 2003 Fall; 36(3): 379–382.
Vollmer T. R., Marcus B. A., and Ringdahl J. E. «Noncontingent escape as treatment for self-injurious behavior maintained by negative reinforcement.» Journal of applied behavior analysis. 1995 Spring; 28(1): 15–26.
Waters B Melissa, Lerman C Dorothea, and Hovanetz N Alyson, «Separate and combined effects of visual schedules and extinction plus differential reinforcement on problem behavior occasioned by transitions». Journal of applied behavior analysis, 2009 Summer; 42(2): 309–313
Чульжанова Е., «Влияние необусловленного поощрения, предоставляемого до учебной сессии, и положительной обратной связи на процесс обучения ребенка» Журнал «Законы поведения», Выпуск 2 (октябрь 2015).












